
技術天地
如何使用變壓器直流電阻測試儀判斷變壓器直流電阻是否合格
發布日期:2020-08-12 點擊:4043次
首先使用變壓器直流電阻測試儀對變壓器進行直流電阻值的測試要在變壓器所有的位置上進行,理論上,變壓器三相直流電阻值應一致,但由于工藝的原因,肯定是有誤差會存在的,只要誤差在合理的范圍內,即可認為變壓器是正常的,是可以投入運行的,其中誤差主要是通過不平衡率來確定,而直流電阻不平衡率應以三相實測最大值減最小值作分子,三相實測平均值作分母計算。下面對國家電力行業所規定的直流電阻不平衡率標準進行了詳細的說明
1、1600kVA以下三相變壓器,各相測得值的相互差值應小于平均值的4%,線間測得的直流電阻值的相互差值應小于平均值的2%
2、1600kVA以上三相變壓器,各相測得值的相互差值應小于平均值的2%,線間測得的直流電阻值的相互差值應小于平均值的1%。
3、與同溫下產品出廠實測數值相比較,相應變化不大于2%
4、由于變壓器結構等原因,差值超過“(1)(2)”中標準時,可只按“(3)”中標準進行比較
(1)1,6MVA以上變壓器,各相繞組直流電阻相互問的差別不應大于三相平均值的2%;無中性點引出的繞組,線間差別不應大于三相平均值的1%
(2)1,6MVA及以下的變壓器,相間差別一般不大于三相平均值的4%,線間差別一般不大于三相平均值的2%
(3)與以前相同部位測得值比較,其變化不應大于2%
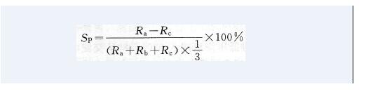
1、變壓器相電阻不平衡率。相電阻不平衡率是指三相繞組中直流電阻最大值與最小值之差與三相直流電阻的平均值之比。設三相變壓器三個“相繞組”的電阻值分別為Ra、Rb和Rc,且令Ra最大,Rc最小。由此,相電阻不平衡率Sp為
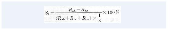
2、 變壓器線電阻不平衡率。線電阻不平衡率是指三相變壓器繞組的線直流電阻中最大值與最小值之差與三個線電阻平均值之比。設三相變壓器的三個線端a、b和c中的任意兩個端子間的直流電阻分別表示為Rab、Rbc和Rca,且設Rab最大,Rbc最小。由此,線電阻不平衡率Sl為
使用變壓器直流電阻測試儀在正確測試完變壓器后,只需按上所述的標準即可判斷變壓器是否還可以正常投入運行,若覺得對測試結果繼續進行的較為麻煩,可以采用變壓器直流電阻測試儀,可同時測試三相繞組的直流電阻并自動計算不平衡率。